RNN循环神经网络
基本RNN神经网络 Link to heading

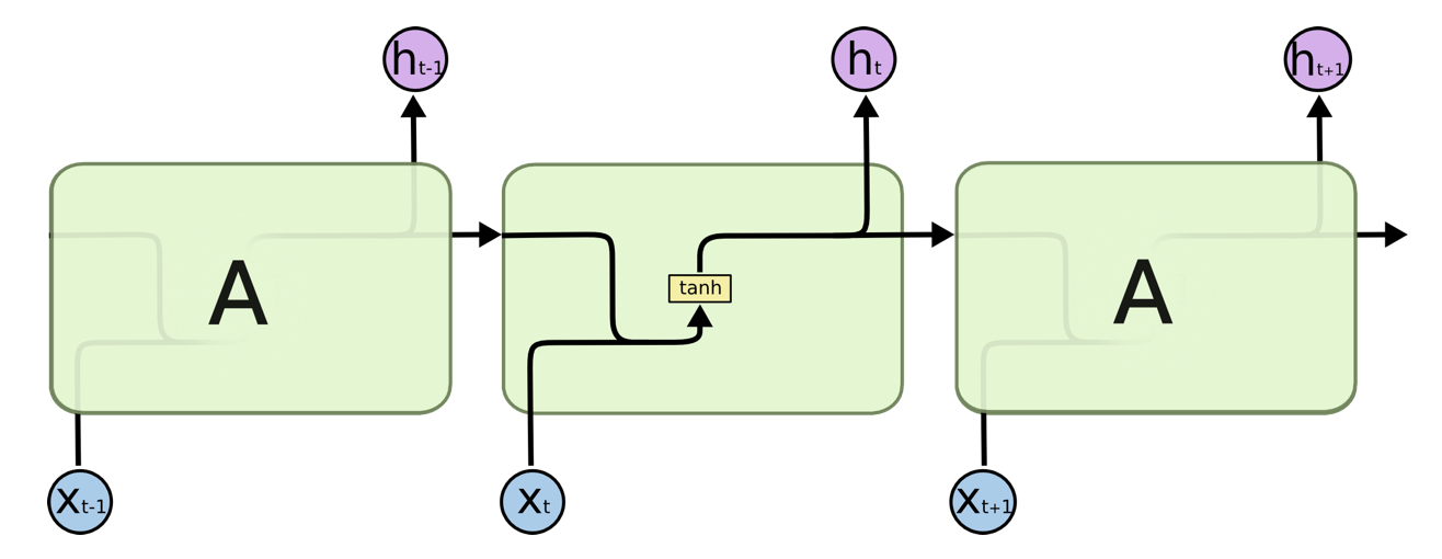
RNN 的核心是一个循环单元,它在每个时间步接受输入 $x_t$ 和上一个时间步的隐藏状态 $h_{t-1}$,并输出当前时间步的隐藏状态 $h_t$ 和输出 $y_t$。
公式如下:
- 隐藏状态更新:
$h_t = \tanh(W_{xh} x_t + W_{hh} h_{t-1} + b_h)$ - 输出计算:
$y_t = W_{hy} h_t + b_y$
其中:
- $W_{xh}$ 是输入到隐藏层的权重矩阵。
- $W_{hh}$ 是隐藏层到隐藏层的权重矩阵。
- $W_{hy}$ 是隐藏层到输出层的权重矩阵。
- $b_h$ 和 $b_y$ 是偏置项。
LSTM神经网络 Link to heading

LSTM 的核心是 门控机制,包括输入门、遗忘门、输出门和细胞状态。以下是 LSTM 的计算公式:
遗忘门(Forget Gate):
$$ f_t = \sigma(W_f \cdot [h_{t-1}, x_t] + b_f) $$- 决定哪些信息从细胞状态 $C_{t-1}$ 中丢弃。
输入门(Input Gate):
$$ i_t = \sigma(W_i \cdot [h_{t-1}, x_t] + b_i) $$- 决定哪些新信息将存储到细胞状态中。
候选细胞状态(Candidate Cell State):
$$ \tilde{C}_t = \tanh(W_C \cdot [h_{t-1}, x_t] + b_C) $$- 生成候选值,用于更新细胞状态。
更新细胞状态(Cell State Update):
$$ C_t = f_t \cdot C_{t-1} + i_t \cdot \tilde{C}_t $$- 结合遗忘门和输入门的结果,更新细胞状态。
输出门(Output Gate):
$$ o_t = \sigma(W_o \cdot [h_{t-1}, x_t] + b_o) $$- 决定哪些信息从细胞状态中输出。
隐藏状态(Hidden State):
$$ h_t = o_t \cdot \tanh(C_t) $$- 输出当前时间步的隐藏状态。
GRU神经网络 Link to heading

梯度裁剪 Link to heading
梯度剪裁是一种在网络反向传播过程中,将误差导数改变或剪裁到阈值,并利用剪裁后的梯度来更新权值的方法。